Test reali: 50.000 ore sul campo e analisi della vita media delle luci a Led
Questo articolo tratta della sfida di affidabilità del LED in ambienti come i tunnel cittadini, dell’innovazione, dell’intercambiabilità e della standardizzazione delle lampade a LED nelle gallerie e delle applicazioni future della comunicazione wireless Zigbee nel controllo dell’illuminazione dei tunnel. È basato su dati misurati sul campo per 50.000 ore riguardanti il mantenimento delle lampade e le prestazioni di illuminazione del tunnel Yangtze River di Shanghai, illuminato con specifiche lampade a LED.
Panoramica sui progetti di illuminazione dei tunnel con lampade LED
I tunnel stradali rappresentano una sfida importante per l'illuminazione e per le sorgenti luminose.
Sono richiesti il funzionamento per 24h al giorno, un basso consumo energetico e un grande sforzo per il mantenimento del sistema di illuminazione per garantire efficienza energetica, durata e affidabilità delle sorgenti luminose. Fondamentalmente il LED rappresenta una buona scelta ma è anche una tecnologia piuttosto recente per quanto riguarda l’illuminazione in generale e soprattutto quella delle gallerie. Diversi progetti per l’illuminazione delle gallerie sono stati avviati negli ultimi anni e ora è il momento di esaminare le prestazioni dei primi sistemi di illuminazione a LED.
Tunnel Thüringer Schmücke
Nel 2008 il tunnel Thüringer Schmücke sulla A71 è diventato il primo tunnel in Germania, e il più lungo in Europa, dotato di una brillante luce LED. La sostituzione delle lampade a luminescenza ad alta intensità da 70 W con quelle a LED Golden DRAGON Plus ha permesso un risparmio del 30% di energia. Una sofisticata tecnologia di compensazione del degrado della luce rende la lampada Dellux virtualmente senza manutenzione per ben 130.000h (15 anni).
Tunnel Renming Road a Shanghai
Nel 2009 il tunnel Renming Road a Shanghai era lungo solo 2 km ma rappresentava un perfetto luogo di prova per valutare le prestazioni dei LED Golden DRAGON Oval Plus in confronto ai tubi fluorescenti. Offrendo le stesse prestazioni e la stessa omogeneità, i tubi a LED hanno mostrato un significativo risparmio di energia associata a una durata molto più lunga e costi di manutenzione più bassi.
Tunnel del fiume Yangtze a Shanghai (2009)
È il progetto di tunnel più importante in Cina, ed è stato anche coinvolto in progetti di ricerca. Con 8,9 km di lunghezza, era il progetto più lungo al mondo con tubi LED, utilizzando 5.786 lampade con LED da 420k Golden DRAGON Plus. I team di ricerca del progetto comprendono una università, un istituto di design, il titolare del progetto e il governo di Shanghai. Nell’ambito della sperimentazione diverse lampade LED sono state valutate accuratamente e il team ha deciso di continuare il progetto con il produttore di LED Osram Opto Semiconductors e l’azienda di lampade Zhonglong. Questo progetto di tunnel è alla base della valutazione sulla vita delle lampade in questo documento.
Tunnel Qingdao Jiaozhou Bay (2011)
Basandosi sul grande successo della galleria del fiume Yangtze e sulle esperienze positive, si è dato il via al progetto sul tunnel più largo al mondo illuminato a LED, nonché quello sottomarino più lungo della Cina. Con 7,8 km di lunghezza, il tunnel Qingdao Jiaozhou Bay è leggermente più corto di quello sotto il fiume Yangtze, ma con 7.076 lampade a LED da 720k OSLON SSL, è significativamente più grande in termini di dimensioni.
Tunnel Dalian Road a Shanghai (2013)
Il vecchio sistema di illuminazione del tunnel Dalian Road aveva 1.592 set di lampade con 2×36WT8 tubi fluorescenti in ciascun set. Il tunnel è stato rinnovato nel 2013 ed è stato aggiornato il sistema di illuminazione con lampade a LED di appena 35 W (risparmio energetico 51%), controllate grazie alla tecnologia di comunicazione wireless Zigbee. Simile al tunnel del fiume Yangtze, anche questa galleria è stata considerata come un progetto di ricerca, concentrandosi sullo studio dell’intercambiabilità delle lampade LED, dei driver e dei sistemi di controllo.
Valutazione sulla vita dei LED nel tunnel del fiume Yangzi di Shanghai
A causa del carattere di progetto di ricerca del tunnel del Fiume Yangzi, sono state registrate le prestazioni di illuminazione, nonché l'affidabilità sotto forma di tassi di insuccesso. La configurazione generale del tunnel è elencata nella tabella riportata di seguito.
Lunghezza dei tunnel: 8,9 Km
Larghezza del tunnel: 12,75 m
Corsie per senso di marcia: 3
Numero di lampade 5.786 pz
Numero di LED per lampada 70 pz
Tipo di LED: Golden DRAGON Plus LUW W5AM 5700K
Sistema di controllo luci: Regolabile da 10% a 100% in 9 step
I livelli di illuminazione sono stati progettati secondo le esigenze delle diverse zone del tunnel.
La "zona di ingresso" fornisce un’elevata luminanza per consentire una facile rivelazione di ostacoli senza riduzione della velocità. Nella "zona di transizione" i livelli di luce sono più ridotti per “accompagnare” l'occhio lentamente verso livelli di luminosità più bassi. La "zona interna" fornisce un livello di illuminazione costante per una guida normale attraverso il tunnel. La "zona di uscita" ha nuovamente un livello di illuminazione più alto per consentire un graduale adattamento alle condizioni di luce al di fuori del tunnel.
La misurazione media della distribuzione di illuminamento in ogni zona del tunnel è stata eseguita misurando 30 punti di prova in una griglia definita e rappresentativa dell’area.
Gli stessi punti di misurazione sono stati utilizzati negli anni, tranne che per l'ultima lettura. Un altro passo molto importante è stato la pulizia delle lampade da polvere e sporcizia. La misura prima e dopo la pulitura ha dimostrato il forte impatto della sporcizia sul livello di luminosità.
Il fattore polvere mostra la luminosità aumentare dopo la pulizia dei corpi illuminanti. Specialmente nella "zona interna 3" che si trova vicino all'uscita del tunnel, il livello di illuminazione è ridotto del 36% quando le lampade sono coperte di polvere. Oltre alla polvere un altro fattore è stato preso in considerazione nell'analisi: la temperatura delle lampade è diversa a seconda della zona del tunnel e naturalmente con il mutare delle stagioni e delle condizioni meteorologiche alle quali le misurazioni sono state prese. Quindi le letture sono state normalizzate a una temperatura ambiente di 26°C e, per la futura sintesi consolidata del mantenimento del flusso luminoso oltre le 46.000 h, verranno considerate le maggiori sollecitazioni della "zona interna 3".
[caption id="attachment_563780" align="aligncenter" width="598"] Illuminamento medio della vita di una lampada[/caption]
Questo grafico mostra la variazione dell’illuminamento medio su strada, determinata mediante le misurazioni descritte in precedenza. Tiene conto dell'invecchiamento dei LED, del riflettore ottico e del coperchio delle lampade e di altri fattori. Le prime 6 misurazioni sono state condotte dall'università come parte del progetto di ricerca. L'ultima lettura a 46.000 h è stata eseguita in posizioni e con attrezzature leggermente diverse dal servizio ufficiale di certificazione e collaudo competente.
[caption id="attachment_563783" align="aligncenter" width="585"] Degradazione del flusso luminoso secondo il modello di vita OSRAM OS[/caption]
Confrontando i dati reali del flusso luminoso con il mantenimento previsto dalla Osram Opto Semiconductor sulla vita delle lampade, i risultati sono molto simili. Si prevede un calo di flusso luminoso dell’85% a 46.000h per i soli LED. I valori misurati sono tra il 70% e l’80% per l’intero sistema. Il modello matematico per i LED e le misurazioni reali si incrociano quindi molto bene, la differenza tra i due risultati può essere infatti spiegata con l'invecchiamento della lampada e dell'ottica. Ulteriori indagini approfondite sugli apparecchi sono in corso.
Sviluppo del tunnel di Shanghai e norme per l’illuminazione LED
Il rapido sviluppo della tecnologia LED negli ultimi anni, soprattutto il miglioramento dell’efficacia dei LED, della loro affidabilità e durata, mostra un grande potenziale di risparmio energetico assieme al completo controllo della luminosità. Anche se si possono annoverare già diversi casi di successo, l’illuminazione dei tunnel tramite LED è ancora nella fase iniziale del suo sviluppo. Bisogna considerare una serie di problemi, quale ad esempio la mancanza di standard di prodotto tra diverse lampade a LED per tunnel provenienti da fornitori diversi. Questo rende difficile l’intercambiabilità dei moduli LED, dei driver e dei meccanismi di controllo, e rappresenta un ostacolo per la manutenzione a lungo termine e influenza negativamente i proprietari di tunnel ad adottare il sistema di illuminazione a LED.
La Shanghai Urban Construction e la Communications Commission hanno istituito, nel marzo 2011 a Shanghai, un gruppo di lavoro per stilare criteri guida per la tecnologia d’illuminazione a LED dei tunnel (Application Guide to the LED Tunnel Lighting Technology). Il gruppo era formato da membri provenienti da autorità di governo, ingegneri specializzati nella progettazione di tunnel, istituti di design, Università e così via. Basandosi sull'esperienza appresa con il tunnel sotto il fiume Yangtze di Shanghai (2009), come pure su studi di ampio respiro nazionali ed esteri sulle tecnologie di illuminazione LED, il gruppo di lavoro è giunto a una svolta nella formulazione di norme sulla modularità e sull’intercambiabilità delle lampade a LED per i tunnel.
The Application Guide of Shanghai LED Tunnel Lighting Technology è stata rilasciata nel mese di aprile 2012, ed è stata ulteriormente aggiornata all'inizio del 2013 per includere non solo l’intercambiabilità delle lampade LED (dimensioni e installazione), ma anche l'intercambiabilità dei moduli LED (interfacce elettrica e fotometrica). Il gruppo di lavoro ha anche sviluppato un protocollo aperto di controllo intelligente – il protocollo LCP SH adatto per i LED di illuminazione delle gallerie.
La Shanghai Urban Construction e la Communications Commission hanno pubblicato ufficialmente "The Application Code for LED Tunnel Lighting Technology" (Il codice applicativo per la tecnologia LED di illuminazione dei tunnel) e lo ha adottato come uno dei codici di ingegneria di Shanghai nel maggio del 2014 con il codice unificato DG/TJ08-2041-2014, che è diventato effettivo a partire dal 1 agosto 2014.
La nuova generazione di LED offre anche una durata maggiore
I package LED, i chip e il convertitore sviluppati continuamente negli ultimi anni, oltre a una nuova generazione di LED, rappresentano attualmente lo stato dell’arte nell’illuminazione dei tunnel e nelle applicazioni per l’illuminazione stradale e si concretizzano negli OSLON Square.
Rispetto al Golden DRAGON Plus che usa la connessione in rame (leadframe) e l’alloggiamento in poliftalammide (PPA), l’OSLON Square utilizza un supporto in ceramica rivestito da uno strato di silicio altamente riflettente e stabile. Le lenti di silicio di nuova progettazione consentono quasi il 100% del processo di outcoupling (fuoriuscita) della luce dal LED. Pertanto lo strato di PPA riflettente non è più necessario e quindi è stato rimosso un fattore significativo della degradazione del flusso luminoso. In aggiunta le radiazioni a breve lunghezza d'onda rimangono intrappolate nel package e quindi la generazione di calore è ridotta al minimo. Le dimensioni sono passate da 11x6 mm per il Golden DRAGON Plus a soli 3x3 mm per l’OSLON Square. Allo stesso tempo la dimensione dei chip utilizzati nei LED è stata raddoppiata da 1 mm² a 2 mm².
Anche con una densità di potenza più elevata come questa, i modelli previsionali di durata prevedono un abbassamento significativo del flusso luminoso simile a quello del progetto del tunnel del fiume Yangtze.
Pertanto la durata della vita del progetto d’illuminazione della galleria utilizzando i LED OSLON.
Square è significativamente più alta e soddisfa anche i requisiti più elevati pur lavorando in condizioni di applicazione più dure.
Tendenze dei sistemi di illuminazione a LED nei tunnel
Lampada per tunnel con modulo LED standardizzato e intercambiabile.
Anche se il LED ha una vita abbastanza lunga (~ 50K ore, 5,7 anni con funzionamento continuo in galleria 24ore al giorno), le apparecchiature di illuminazione dei tunnel (l’alloggiamento e il dissipatore di calore) hanno di solito una vita di 25 anni o addirittura di più. Uno dei principali motivi di scelta per l’utilizzo di questi sistemi LED nei tunnel consiste nel fatto che quando alcuni componenti LED si guastano o raggiungono la fine del loro ciclo di vita, è possibile sostituire facilmente il modulo LED e ri-utilizzare la lampada e l’alloggiamento per ridurre i costi di manutenzione.
Sistemi di attenuazione per ottenere un maggiore risparmio energetico
A causa del fattore di mantenimento (di solito circa 0,7), il livello di luce iniziale del tunnel sarà ~30% superiore al target di progetto. Con il sistema di attenuazione, si può inizialmente ridurre il livello delle lampade a LED per soddisfare i livelli di luce richiesti e aumentare gradualmente la potenza negli anni seguenti, per evitare sprechi di energia nei primi anni e ottimizzare le prestazioni di illuminazione secondo le norme.
L’illuminazione della galleria è in funzione per 24 ore al giorno ma di solito da metà notte fino alla prima mattina vi è molto meno traffico e il livello di illuminazione potrebbe essere diminuito di conseguenza. Questo aiuta a ottenere un maggiore risparmio energetico e a prolungare la durata di vita dei LED, mantenendo la stessa uniformità di luminanza sulla superficie stradale.
Controllo intelligente con Zigbee nel progetto di rinnovamento dei tunnel
Oltre ai nuovi tunnel, sono sempre di più le gallerie esistenti che hanno esigenze di rinnovo e aggiornamento del sistema di illuminazione. Al fine di avere una funzione di attenuazione intelligente nei progetti di rinnovo dei tunnel, ma apportando i minori cambiamenti possibili agli armadi di comando e alla cablatura esistente, è possibile utilizzare la tecnologia di controllo wireless Zigbee. Ad esempio è stata usata nel tunnel di Dalian Road, senza posa di cavi di controllo, riducendo il costo di installazione e abbreviando i tempi di lavorazione. Un’esperienza di successo per l’aggiornamento del sistema di illuminazione delle vecchie gallerie.
Conclusione
Sebbene l’illuminazione dei tunnel è stata considerata come più impegnativa per i LED, soprattutto per l’alta umidità e la presenza di gas corrosivi, i dati reali di 50.000 ore di mantenimento dei lumen del tunnel Shanghai Yangtze River ci danno molta la fiducia sull’affidabilità dei LED e sulla durata in applicazioni outdoor. In aggiunta questi dati si basano sulla tecnologia a LED di 6 anni fa. Gli ultimi LED OSLON Square con package ceramico e chip UX:3 hanno migliorato ulteriormente le prestazioni di durata e affidabilità.
Il continuo miglioramento della tecnologia LED, la certificazione reale di durata e affidabilità, l’innovazione nell’intercambiabilità e nella standardizzazione delle lampade LED per tunnel, la tendenza a usare sistemi di controllo wireless Zigbee, contribuiranno ad aumentare il livello di confidenza e accelereranno ulteriormente l'adozione di LED nell’illuminazione delle gallerie.
[post_title] => Lampade LED nei tunnel
[post_excerpt] =>
[post_status] => publish
[comment_status] => closed
[ping_status] => closed
[post_password] =>
[post_name] => lampade-led-nei-tunnel
[to_ping] =>
[pinged] =>
[post_modified] => 2016-04-14 12:17:44
[post_modified_gmt] => 2016-04-14 10:17:44
[post_content_filtered] =>
[post_parent] => 0
[guid] => http://www.infobuild.it/?post_type=approfondimenti&p=563747
[menu_order] => 0
[post_type] => approfondimenti
[post_mime_type] =>
[comment_count] => 0
[filter] => raw
)
)
[related_prodotti_focus] =>
[related_prodotti_posts] => Array
(
[0] => WP_Post Object
(
[ID] => 561330
[post_author] => 4
[post_date] => 2016-03-22 02:10:16
[post_date_gmt] => 2016-03-22 01:10:16
[post_content] =>
La combinazione di illuminazione a infrarossi e fotocamere fornisce la base per una vasta gamma di tecniche interattive in cui un dispositivo può “vedere” il proprio utente e interpretare le sue intenzioni.
[caption id="attachment_561335" align="aligncenter" width="500"] Attivazione mediante lo sguardo. L'eye tracking in combinazione con i classici sistemi di input apre nuovi modalità di funzionamento di dispositivi elettronici. Fonte: Osram[/caption]
Siamo circondati da così tanti dispositivi elettronici complessi che sono necessarie nuove tecniche per un'interazione intuitiva tra uomo e macchina.
L'esempio dell’eye tracking mostra che sulla base di questo tipo di hardware nuovi modelli di interazione possono essere implementati con soluzioni software. Innovazioni nei componenti hardware stanno guidando questo sviluppo. Vi è una tendenza, ad esempio, verso l'utilizzo di sorgenti di luce con una lunghezza d'onda di 940 nm. Osram sta quindi ampliando la propria gamma di emettitori IR per il riconoscimento facciale, l’eye tracking e applicazioni simili.
La comunicazione mediante il riconoscimento dei movimenti dell’occhio rende l'utilizzo degli strumenti elettronici più intuitivo
Computer potenti, LED a infrarossi ad alta efficienza e moderni sensori fotografici rendono ora possibile adattare alle applicazioni consumer i complessi sistemi di eye tracking. Questi sistemi consentono ai dispositivi di rilevare i movimenti degli occhi dell’utente e riconoscere ciò che desidera fare. In collaborazione con i classici metodi di input, l’eye tracking apre un nuovo mondo di interazioni più intuitive tra uomo e macchina.
Per decenni la tastiera e il mouse sono stati gli strumenti tradizionali per il funzionamento dei computer. Con l'arrivo di dispositivi mobili come gli smartphone e i tablet nuove tecniche si sono rese necessarie per comunicare in maniera efficace con questi mini-computer che non hanno né una tastiera, né un mouse. Gli schermi sensibili al tocco sono diventati una tecnologia chiave per l’usabilità di questi dispositivi. L'aggiunta del riconoscimento vocale ha reso il tutto ancora più intuitivo.
Il dispositivo che anticipa
Entro breve tempo la quantità di apparecchiature elettroniche che desidereremo per comunicare aumenterà ulteriormente con la diffusione dell’Internet delle cose. Un buon esempio è rappresentato dai dispositivi per la casa intelligente, dove i termostati con controllo vocale sono già disponibili sul mercato. Inoltre interagiremo con i robot in futuro: a prescindere da quelli industriali, sono già in fase di sviluppo assistenti robot per la casa e per il settore della salute. Oggi, i dispositivi possono ricevere comandi tramite touchscreen e sentire che cosa vogliono gli utenti attraverso microfoni integrati. Con l’aiuto dei sistemi di eye tracking (il riconoscimento dei movimenti dell’occhio) saranno inoltre in grado di rivelare ciò che gli utenti stanno guardando e anticipare ciò che desiderano fare. Questo aprirà una serie di nuovi scenari e possibilità di interazioni intuitive tra uomo e macchina.
In molti casi l'hardware per l'eye tracking è già disponibile
I sistemi di eye tracking rilevano i movimenti degli occhi di una persona e la direzione in cui sta guardando. Inizialmente sono stati sviluppati per ricerche di mercato, analisi dei comportamenti e studi di usabilità. Sono stati anche utilizzati per un certo periodo di tempo per aiutare le persone che non hanno più l'uso delle mani, per far funzionare i computer. Molti di questi sistemi utilizzano luci a infrarossi per illuminare gli occhi dell'utente, scattare foto con una fotocamera e calcolare il movimento oculare dai dati delle immagini. Tali sistemi necessitano di videocamere di alta qualità, sorgenti di illuminazione e software speciali. A volte sono necessari acceleratori hardware per elaborare le enormi quantità di dati grafici. Oggi, chip estremamente potenti, sensori compatti per fotocamere e moderni LED ad alta potenza consentono di integrare funzionalità di eye tracking in dispositivi come gli smartphone. In alcuni il sensore della fotocamera e la sorgente di luce infrarossa sono già utilizzati per altre funzioni come il riconoscimento facciale o l’identificazione dell’iride. Tutto ciò che serve è un opportuno software per integrare l'eye tracking tra le caratteristiche aggiuntive.
Gli sviluppi attuali
L’utilizzo dell'eye tracking come nuova ulteriore interfaccia uomo/macchina è attualmente in via di sviluppo in varie aree. Smartphone e tablet con funzionalità eye tracking possono già utilizzare il sistema di controllo del movimento oculare per attivare un'icona o spostare un personaggio sullo schermo. Giochi per computer con eye tracking danno ai giocatori un senso di maggior coinvolgimento nell'azione. Questi sistemi sono stati presentati in casi in cui i giocatori possono utilizzare i movimenti oculari per il controllo del punto di vista o dei personaggi a video, invece di utilizzare un mouse o un trackpad. L’eye tracking può essere impiegato in modo molto simile con i computer, per esempio utilizzando gli occhi per scorrere un documento. Nel settore smart home, inoltre, vi sono diversi modi di utilizzare il controllo visivo per comunicare con una vasta gamma di dispositivi, ad esempio sono già state presentate Smart TV con eye tracking. Possibili applicazioni per questi sistemi sono anche stati proposti nel settore automotive. Un buon esempio è l’assistente all’attività del guidatore (driver activity assistant) che monitora gli occhi del conducente per rilevare segni di affaticamento. Una funzionalità eye tracking potrebbe anche essere utilizzata per rilevare la direzione in cui il conducente sta guardando e determinare se presta attenzione alla strada o è distratto. Tali informazioni possono evitare situazioni critiche sulla strada.
Sistemi eye tracking per il settore consumer
Moderni sistemi eye tracking per le applicazioni sopra menzionate sono basate su LED ad infrarossi (IRED), per illuminare gli occhi, e fotocamere ad alta risoluzione che rilevano la luce riflessa dagli occhi. Gli algoritmi di elaborazione delle immagini elaborano i dati raw e calcolano la posizione delle pupille (Fig. 2). Utilizzando le informazioni sulla posizione con un oggetto di riferimento, come uno schermo, speciali software sono in grado di determinare esattamente dove l'utente sta guardando. L’illuminazione a infrarossi garantisce il necessario contrasto tra il diaframma e la pupilla, qualunque sia il colore degli occhi, anche in condizioni di buio o se lo schermo è molto luminoso.
[caption id="attachment_561337" align="aligncenter" width="431"] Immagine 2. Un sistema eye tracking illumina gli occhi con una luce a infrarossi e acquisisce immagini con il sensore della fotocamera. I dati delle immagini vengono utilizzati per determinare la posizione delle pupille e calcolare la direzione in cui l'utente sta guardando. Fonte: Osram[/caption]
Attualmente questi sistemi hanno una portata di circa un metro. Per gli smartphone e i tablet la tipica distanza di funzionamento è di circa 30 cm, per i computer desktop intorno a 60 cm. La risoluzione sullo schermo corrisponde alla riga di scansione dell’occhio (raster) ed è di circa 1 cm per i tablet e di circa 2 cm per i computer. Il numero di IRED utilizzati e la specifica disposizione di emettitori e sensori fotografici dipende dal tipo di applicazione; in altre parole dalla distanza di funzionamento e dalla dimensione dell'area da coprire. La configurazione può variare anche a seconda del software usato per l’eye tracking perché la geometria dipende anche dalla capacità degli algoritmi di rilevare in modo affidabile l'orientamento delle pupille. Generalmente, l'emettitore e il sensore della fotocamera devono essere disposti a un certo angolo e a una certa distanza l'uno rispetto all'altro per evitare riflessi da occhiali o abbagliamento diretto tra gli occhi e il sensore. Maggiore è tale distanza, migliore è la qualità del segnale e più flessibile la scelta di una distanza ottimale tra l'utente e il dispositivo.
LED a infrarossi per sistemi eye tracking
A differenza dello scanner dell’iride, ad esempio, che necessita maggiormente di una specifica lunghezza d'onda, i sistemi di eye tracking operano con un ampio intervallo spettrale. Spesso i sistemi sfruttano gli strumenti per la scansione dell'iride o per il riconoscimento facciale associando IRED (LED a raggi infrarossi) con lunghezze d'onda di 850 o 810 nm. IRED con una lunghezza d'onda di 850 nm sono percepiti dall'occhio umano come una debole luce rossa. Molti produttori di soluzioni di eye tracking preferiscono una lunghezza d’onda di 940 nm, perché praticamente invisibile a occhio nudo. Progetti a 940 nm hanno però l'inconveniente che i sensori fotografici attualmente in uso sono in generale ottimizzati per la luce visibile e hanno una sensibilità più bassa nello infrarosso. A 940 nm questa riduzione è tanto significativa (Fig. 3) che l'illuminazione a infrarossi deve essere potenziata per ottenere la stessa intensità del segnale di una sorgente luminosa a 850 nm. Tuttavia, in vista dell'enorme numero di applicazioni basate su illuminazione a infrarossi, i produttori di sensori sono al lavoro su nuove versioni di fotocamere con una buona sensibilità agli infrarossi.
[caption id="attachment_561338" align="aligncenter" width="591"] Immagine 3. La sensibilità delle fotocamere standard è ottimizzata per la luce visibile e diminuisce significativamente tra 850 nm e 940 nm. I sistemi di eye-tracking con IRED a 940 nm hanno il vantaggio di essere a malapena percettibili per l'occhio umano. Nella maggior parte dei casi è necessario compensare il ridotto livello di segnale con correnti di funzionamento più elevate. Fonte: Osram[/caption]
Idealmente, entrambi gli occhi dovrebbe essere entro la zona di ripresa della fotocamera. È inoltre importante che l'intero occhio sia illuminato in modo uniforme. La quantità di luce a infrarossi che è necessaria dipende dalla distanza di funzionamento e può essere di svariati watt, anche per i dispositivi mobili. Per mantenere l’emissione termica, dovuta alle alte correnti di funzionamento, quanto più bassa possibile, gli emettitori sono azionati in modalità pulsata. Nonostante questo, la gestione termica è un aspetto importante della progettazione, particolarmente negli smartphone e tablet sempre più leggeri e sottili. A questo proposito l'efficienza dell'IRED è uno dei fattori più importanti, assieme all'output ottico. Maggiore è l'efficienza, minore è il calore generato.
Per tali applicazioni Osram ha sviluppato la serie Oslon Black e ha raggiunto un record di efficienza del 48% con l’SFH 4715A. Un emettitore a 850 nm fornisce tipicamente un output ottico di 770 mW a 1 A, e attualmente è il più efficiente IRED con questa corrente di funzionamento. È possibile raggiungere output maggiori tramite versioni stack in cui sono previsti due centri di emissione per ogni chip, con l'aiuto della tecnologia nanostack. L’SFH 4715 produce tipicamente 1340 mW di luce a una corrente di 1 A. Due versioni con angoli di emissione di 90 e 150 gradi coprono una vasta gamma di design. L’Oslon Black con un output ottico di 990 mW a 1 A è ideale come sorgente luminosa a 940 nm.
[caption id="attachment_561339" align="aligncenter" width="458"] L’Oslon Black SFH 4715 è uno dei più potenti diodi a raggi infrarossi con una lunghezza d'onda di 850 nm attualmente disponibili. Fornisce 1340 mW di luce a una corrente di 1 A. Grazie allo spessore minimo si adatta non solo all’attuale generazione di smartphone, ma anche alla prossima. Fonte: Osram[/caption]
Una caratteristica particolare dell’Oslon Black è il fatto di essere spesso appena 2,3 mm: questo IRED quindi si adatta non solo all’attuale generazione di smartphone, ma anche alla prossima, nonostante la tendenza verso dispositivi sempre più sottili.
Come qualsiasi applicazione dotata di sorgenti di luce a infrarossi, i sistemi di eye tracking devono conformarsi agli standard di sicurezza. La quantità di radiazione infrarossa che normalmente raggiunge un utente è relativamente bassa. Tuttavia, devono essere prese delle precauzioni, ad esempio, per le situazioni in cui un tecnico può correre rischi guardando la sorgente a infrarossi da vicino. Un sensore di prossimità legato al sistema eye tracking garantisce che in tali casi il LED infrarosso si spenga. Ulteriori informazioni sulla sicurezza nella progettazione di sistemi ottici possono essere trovati nell’Osram Application Note sulla sicurezza degli occhi.
L'autore
Il dott. Christoph Goeltner è Product Manager di Osram Opto Semiconductors di Sunnyvale, in California. È responsabile per i LED a infrarossi in applicazioni consumer. Dopo aver ricevuto il dottorato presso il Massachusetts Institute of Technology ha lavorato per Mercedes Benz e Siemens. Nella Silicon Valley ha ricoperto posizioni come marketing manager presso diverse startup high-tech e alla Texas Instruments.
[post_title] => Eye tracking. Una nuova forma di interazione tra uomo e macchina
[post_excerpt] =>
[post_status] => publish
[comment_status] => closed
[ping_status] => closed
[post_password] =>
[post_name] => eye-tracking-una-nuova-forma-di-interazione-tra-uomo-e-macchina
[to_ping] =>
[pinged] =>
[post_modified] => 2016-03-21 11:30:06
[post_modified_gmt] => 2016-03-21 10:30:06
[post_content_filtered] =>
[post_parent] => 0
[guid] => http://www.infobuild.it/?p=561330
[menu_order] => 0
[post_type] => post
[post_mime_type] =>
[comment_count] => 0
[filter] => raw
)
)
[related_prodotti_eventi] =>
[related_prodotti_progetti] =>
[related_prodotti_info_aziende] => Array
(
[0] => WP_Post Object
(
[ID] => 562213
[post_author] => 4
[post_date] => 2016-04-05 03:18:51
[post_date_gmt] => 2016-04-05 01:18:51
[post_content] =>
Questo articolo offre una panoramica dei vantaggi e degli inconvenienti di tale package nelle lampade LED retrofit e in diversi tipi di apparecchi di illuminazione.
[caption id="attachment_562232" align="aligncenter" width="400"] Nuovi Led possono generare un elevato livello di luminosità, tra i 300 e i 1.500 lumen (lm).[/caption]
Affronta inoltre la loro durata e affidabilità e mostra come la giusta scelta dei prodotti, e una buona progettazione termica, possa soddisfare anche esigenze specifiche. Studi illustrano gli enormi benefici che la CAS (Chip Array in package SMD) può generare quando utilizzato in faretti e in sorgenti di luce omnidirezionale.
Recentemente diverse società hanno lanciato prodotti che possono essere comunemente considerati come una nuova classe di LED - Chip Array in package SMD (CAS). Questi package LED a elevata potenza possono fornire tra i 300 e i 1.500 lm e stanno rappresentando una seria concorrenza per gli array Chip-on-Board, in questa categoria di flusso luminoso. Combinano l’elevata efficacia ed emissione luminosa dei LED CoB con efficaci risparmi in termini di costo complessivo e un assemblaggio affidabile utilizzando elettroniche Pick&Place. Integrare il pcb (printed circuit board, circuito stampato) nei sistemi di illuminazione dà ai produttori la libertà di includere fusibili termici, connettori o componenti del driver direttamente sulla scheda LED.
Quasi in contemporanea con Osram Opto Semiconductors, che ha avuto inizialmente l’idea, diversi produttori di chip hanno lanciato le matrici di Chip in package SMD (CAS). Perché questi prodotti possono essere generalmente considerati una nuova classe di LED? Perché possono generare un elevato livello di luminosità, tra i 300 e i 1.500 lumen (lm). Combinano l’elevata efficacia ed emissione luminosa dei LED CoB (Chip on Board) con efficaci risparmi in termini di costo complessivo e un assemblaggio affidabile utilizzando elettroniche Pick&Place. Il pcb (circuito stampato) non fa più parte del CoB ma è parte dell’apparecchio di illuminazione, per cui vi è una maggiore libertà di progettazione per i produttori. Questo apre ulteriori possibilità di includere elementi come fusibili termici, connettori o componenti di controllo direttamente sulla scheda LED. Grazie a queste interessanti caratteristiche, questi package di LED ad elevata potenza stanno rappresentando una seria concorrenza per gli array Chip-on- Board in questa categoria di flusso.
Tutte le matrici di chip LED in package SMD disponibili sul mercato presentano un flusso luminoso superiore a 300 lm, ma alcuni possono anche arrivare a 1.200 lm. Con livelli di flusso così alti, lampade retrofit con wattaggi equivalenti da 25 a 75 watt sono realizzabili con un solo package di LED. I principali produttori di lampade, come Osram Opto Semiconductors, hanno adattato i loro prodotti esattamente in funzione della luminosità richiesta per realizzare retrofit direzionali e omnidirezionali, assicurando sufficiente efficacia per raggiungere la Classe Energetica UE A+. Le dimensioni più comuni del package sono di 5 x 5 mm e 7 x 7 mm e anche 9,5 x 9,5 mm.
Come nel caso dei LED Chip-on-Board, la luce dei LED CAS è generata da un array di chip emettitori ("Sapphire").
Tuttavia, i chip CAS sono montati su una struttura metallica (leadframe) di materiale altamente riflettente o su un substrato ceramico. Tutti questi chip emettono luce blu e sono incapsulati in un materiale siliconico riempito di fosforo che genera luce bianca. Di conseguenza, semplicemente scambiando il materiale riflettente del circuito stampato con un leadframe i produttori sono in grado di assicurare un facile montaggio SMD senza compromettere l'efficacia o altre proprietà positive dei LED CoB. La tabella seguente mette a confronto package luminosi, costi del sistema e altre caratteristiche dei diversi tipi di LED.
Molti vantaggi, svariati inconvenienti
La prima generazione di LED CAS fu progettata per l'uso nei retrofit, specialmente per le lampade direzionali MR e PAR. Pertanto, il package luminoso di questi primi prodotti venne ottimizzato per sostituire le lampade alogene da 20 a 50 W. Sono stati utilizzati come singole sorgenti di luce senza fornire più punti o più ombre. Hanno quindi soddisfatto le necessità di molti clienti che con i nuovi LED desideravano ottenere lo stesso aspetto delle lampade alogene utilizzate in precedenza. Fino ad allora, questo era possibile solo con i LED CoB. Questi però hanno bisogno di saldature manuali o inserimenti manuali nei supporti. Nel frattempo, i primi costruttori hanno intuito che il package CAS poteva essere utilizzato anche per potenze elevate, consentendo di usare un solo LED integrato in retrofit omnidirezionali. Per questa applicazione, sono entrati in gioco gli altri vantaggi dei LED CAS. Grazie al package SMD, è stato possibile automatizzare il montaggio e l'uso di connettori o componenti del driver sul circuito stampato del LED, spianando la strada per la completa automazione della produzione di retrofit.
[caption id="attachment_562223" align="alignright" width="250"] La nuova Duris S 10 della Osram Opto Semiconductors è un esempio di LED CAS.[/caption]
Queste caratteristica dei retrofit può essere applicata anche ad altri apparecchi di illuminazione. Con i convenienti chip array di LED SMD, una grande varietà di lampade, compresi i downlight, i tracklights e i faretti, può essere prodotta senza comprometterne l'aspetto.
Nonostante tutti questi vantaggi vi sono anche alcune cose che devono essere prese in considerazione durante la progettazione di LED CAS. Grazie al loro maggiore flusso luminoso, il carico termico che influisce su un package CAS è nel range di qualche watt. Dovremmo pertanto dare uno sguardo più da vicino alle proprietà termiche di questi prodotti: la maggior parte dei LED CAS sono poggiati su leadframe, in modo che il chip LED sia collocato direttamente sulla base di rame del leadframe. La resistenza termica del package stesso (dal punto di giunzione a quello di saldatura) è eccellente e anche migliore di quella dei prodotti CoB (ad es. 1,2 K/W per un dispositivo da 10 W). Tuttavia, a differenza dei prodotti CoB il calore non è ancora nel core metallico del circuito stampato, deve ancora attraversare il dielettrico. Pertanto, deve essere considerata anche la resistenza termica addizionale del dielettrico. Ovviamente questa dipende dal tipo di materiale utilizzato per il pcb. Considerando una media il valore è di circa 1,3 K/W, il che rende la resistenza termica totale leggermente superiore a quella dei CoB. Utilizzando una corretta progettazione del circuito stampato non ci dovrebbe essere bisogno di ulteriore isolamento elettrico rispetto al dissipatore di calore.
[caption id="attachment_562224" align="aligncenter" width="400"] Figura 1: Simulazione termica per un dispositivo Duris S10 CAS su di una piastra calda[/caption]
In questo caso il circuito stampato dovrebbe sopportare facilmente parecchie migliaia di volt, come richiesto dai test di certificazione secondo le norme IEC 61347 o UL 1310. Per i dispositivi da 10 W sopra menzionati, le nostre simulazioni termiche hanno mostrato un aumento nella temperatura di giunzione tipica del dissipatore di calore di 29 K rispetto a 21 K di un CoB (vedere figura 1).
Per quanto riguarda l'ottica e il colore del LED CAS, alcuni aspetti interessanti sono venuti alla luce. Come i LED CoB, le matrici di chip con package SMD della prima generazione erano caratterizzate da una superficie di emissione della luce circolare (LES), così non c’era molto di cui preoccuparsi in termini di progettazione ottica. Per un dispositivo 5050 il diametro tipico è di 4,6 mm e l’emissione da 300 a 500 lm. Tuttavia, poiché i package sono quadrati si è scoperto che l'efficacia può essere notevolmente aumentata se la superficie di emissione della luce è anch’essa quadrata. Questo si traduce in un aumento del diametro effettivo fino a 5,7 mm. Non è un dato molto significativo se non per l’impatto sulla progettazione ottica. Rispetto ai LED CoB con la stessa classe di potenza, il diametro dei LED CAS è ancora piuttosto piccolo (da 6 a 10 mm).
Un altro aspetto importante da considerare è la consistenza del colore: poiché il CAS sarà probabilmente l’unica fonte di luce del prodotto finale, il color binning deve essere effettuato con cautela per evitare spiacevoli variazioni di colore da lampada a lampada. Purtroppo, a causa dei processi di produzione coinvolti, nessun produttore può ottenere una distribuzione al di sotto di 3 step MacAdam, come nel caso standard dei CoB. Dovrebbe essere fatta una corretta valutazione per vedere se una variazione di colore maggiore possa essere accettata o meno in un progetto o lotti più rigorosi debbano essere acquistati a prezzo extra.
Una delle principali preoccupazioni con il nuovo package è la robustezza. È sufficiente per le applicazioni previste?
Poiché la maggior parte dei progetti disponibili sul mercato contengono argento tenero nel leadframe e materie plastiche nel supporto, questi timori vanno presi sul serio. Di seguito diamo uno sguardo a diversi materiali nel package CAS: Chip e fosforo: il chip di emissione nonché le resine siliconiche riempite di fosforo responsabili della conversione della luce sono gli stessi di quelli utilizzati in altri tipi di LED. Così non c’è da aspettarsi alcuna riduzione né miglioramento in questa sezione.
Leadframe: si considera leadframe sia la struttura meccanica di supporto, sia il contatto termico ed elettrico con la scheda. Come nei CoB, il leadframe di LED CAS serve anche come specchio per aiutare a emettere la luce dal package. Pertanto necessita di avere eccellenti proprietà riflettenti e dovrebbe essere tipicamente rivestito in argento. Però la presenza di gas corrosivi (specialmente acido solforico) porta a un invecchiamento accelerato che riduce la luminosità dei chip. Se i LED CoB o CAS sono utilizzati in ambienti difficili, Osram Opto Semiconductors raccomanda una schermatura adeguata contro tali sostanze.
Materiale dell’alloggiamento: la maggior parte delle preoccupazioni con i LED di media potenza e gli array di chip LED SMD riguardano l'invecchiamento dei materiali plastici ad alte temperature e a intensi livelli di luce. In effetti, i primi package in poliftalammide (PPA) sono stati limitati da questo effetti. Tuttavia, una corretta progettazione potrà limitare l'esposizione del materiale che costituisce il package alla luce blu. Anche questo materiale può avere una vita lunga come ha recentemente dimostrato Osram Opto Semiconductors nel progetto di un di tunnel a Shanghai1.
Poiché in grandi package la superficie della plastica esposta alla luce può essere minimizzata in relazione allo specchio o alla superfice del leadframe, l’invecchiamento del package può essere ridotto al minimo. Se vengono utilizzate resine epossidiche di ultima generazione, i package possono avere una vita in grado di superare i test LM-80, sufficiente per la maggior parte delle applicazioni (vedere la figura 2).
[caption id="attachment_562225" align="aligncenter" width="500"] Figura 2: test LM-80 (vita) della prima generazione delle Osram Duris S8. Test sulla la seconda generazione, con un design migliorato, sono attualmente in corso.[/caption]
Quale design CAS è più adatto alla mia applicazione?
Come menzionato sopra, i clienti possono scegliere tra i LED CAS con base su leadframe e quelli con base ceramica. Utilizzando la ceramica, la resistenza termica del package sarà maggiore rispetto al leadframe in rame. Tuttavia, a causa della migliore robustezza intrinseca di questo tipo di package, sono possibili temperature di trasmissione più elevate - a scapito di una certa efficacia. Una decisione dovrebbe pertanto essere presa caso per caso sulla base di comparazioni di sistema scegliendo quale materiale sia il migliore per ottenere i valori richiesti in termini di efficacia, costi e vita del prodotto.
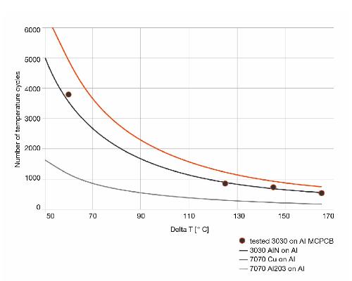
In applicazioni retrofit per i consumatori le soluzioni come lampade o dispositivi d’illuminazione devono sopportare diversi cicli on-off al giorno. Questo è il motivo per cui la stabilità della temperatura del ciclo è critica in queste applicazioni. Nei casi in cui la differenza di espansione termica tra il leadframe di rame e il core di alluminio della scheda sia minima, si consiglia di utilizzare LED CAS con leadframe per le applicazioni in cui sono attesi cicli frequenti e/o con alte temperature. La sollecitazione sui giunti di saldatura è tanto maggiore quanto più il dispositivo diventa più grande. La figura 3 mostra il numero di cicli necessari prima che si verifichino guasti rilevabili nei giunti di saldatura come effetto della differenza di temperatura. In questo grafico sono indicati i valori del package ceramico di un 3030 a nitruro di alluminio, oltre ai risultati ottenuti utilizzando il modello Coffin-Manson per un ciclo di temperatura di 30 minuti.
Figura 3: primo guasto nei giunti di saldatura rilevabile grazie a un improvviso aumento di tensione. Il numero di cicli di temperatura dipende dalla differenza di temperatura.
Caso pratico: LED CAS utilizzati in soluzioni di illuminazione
Sia le lampade retrofit direzionali, sia quelle omnidirezionali possono trarre vantaggio dall'utilizzo di Array di chip LED SMD.
Nelle lampade con bulbo A e in quelle a candelabro, i LED CAS possono sostituire un numero di LED più piccoli di media potenza a un prezzo paragonabile. Questo consente di utilizzare un “filamento virtuale” in una gamma maggiore di classi di potenza rispetto a quello attuale.
Nei retrofit tipo MR 16, i LED CAS offrono una soluzione conveniente per lampade a singola sorgente con aspetto di lampada alogena, eliminando il famigerato effetto “multi ombre”. Tuttavia, il design dell'ottica qui è complesso. Secondo le regole di base dell’ottica, le dimensioni di una lente su una sorgente più grande deve essere proporzionalmente maggiore rispetto a quella di una piccola sorgente. Visto che è necessaria una sola lente invece di tre o quattro, i diametri delle ottiche possono essere comparabili (vedere figura 4). D'altro canto, la lente maggiore richiede una quantità superiore di spazio prezioso all'interno del corpo dell’MR16.
[caption id="attachment_562228" align="aligncenter" width="522"] Figura 4: Un LED CAS può sostituire tre o quattro piccoli LED in una lampada MR16.[/caption]
Nel complesso il numero di chip in un CAS è simile a quello utilizzato nei progetti esistenti, quindi la tensione e i requisiti di alimentazione sono compatibili con i driver odierni. Diversi LED CAS sono disponibili in varie classi di potenza, così è possibile realizzare tutte le tipiche lampade retrofit. Ma vi è un ulteriore fattore spesso trascurato nel design retrofit: quando si passa alla produzione di massa, i costi di montaggio costituiscono una parte significativa del costo totale del prodotto. L’assemblaggio automatizzato dovrebbe sempre essere utilizzato laddove possibile. Oggi sempre più retrofit sono progettati con connettori SMD su scheda LED e questo aumenta un po’ il costo dei materiali, ma permette un notevole risparmio e affidabilità dal punto di vista del montaggio.
Questa è la ragione principale per cui è altamente probabile che, in tutte le applicazioni che richiedono grandi volumi, il package SMD prevarrà sull’assemblaggio semi automatico dei LED CoB.
LED CAS in lampade downlight professionali
Le lampade professionali per l’illuminazione verso il basso (da 6 a 8 pollici) utilizzate negli uffici e negozi sono spesso basate su LED CoB perché una singola sorgente di luce al centro della lampada offre un certo grado di controllo della luminosità. Inoltre mantiene il look and feel di una lampada alogena o HID, particolare trascurato nelle lampade fluorescenti degli ultimi decenni.
Tuttavia, i livelli di luminosità di 2.000 e 3.000 lm sono ancora troppo elevati per essere ottenuti con un singolo LED CAS. Come possono essere ridotti i costi in questo caso? La risposta è un grappolo di LED CAS. Le dimensioni di una matrice 2x2 di LED 7070 sono ancora inferiori rispetto a quelle di un CoB con un LES di 22 mm (diametro).
Dopo l'adozione del layout pcb, il CoB precedentemente utilizzato può essere semplicemente sostituito senza altre modifiche al design. Questo porta ad avere un output maggiore o una migliore efficacia rispetto al CoB. Progetti simili possono essere prodotti con LED CAS 5050 o CoB con un LES di 14,5 mm. Lo spazio tra i singoli LED è così piccolo che non vi è praticamente alcuna differenza rispetto a un "vero" CoB. Ulteriori vantaggi possono essere ottenuti quando il pcb non viene utilizzato solo per fornire un'interfaccia termica.
Ad esempio fusibili termici, parti del driver o l'elettronica di controllo possono essere inclusi nel circuito stampato del LED. Fori di montaggio possono essere posizionati dal produttore e non si deve “subire” il posizionamento di chi ha realizzato il CoB. Connettori poke-in sono inoltre disponibili e possono essere assemblati direttamente insieme con il LED, così non è necessaria alcuna ulteriore saldatura manuale o sistema di fissaggio.
In sintesi, uno studio dettagliato mostra che i LED CAS presentano alcuni inconvenienti che devono essere presi in considerazione, come la resistenza termica addizionale, a seconda del materiale utilizzato per il pcb, o il color binning, che deve essere eseguito con cautela per evitare spiacevoli variazioni di colore da lampada a lampada.
Tuttavia, i vantaggi superano nettamente gli svantaggi. Ci sono diversi benefici con questo nuovo tipo di LED, in particolare i piccoli LES e il notevole vantaggio in termini di costo rispetto ai CoB. Ma il motivo principale per l'utilizzo di LED CAS è l’assemblaggio più semplice che li farà prevalere rispetto ai LED CoB con assemblaggio semi-automatico in tutte le applicazioni con elevati volumi di produzione. Fino a quando questo avverrà, i produttori devono conoscere le prestazioni termiche, la durata e la consistenza del colore per scegliere facilmente il tipo di LED più adatto alla propria applicazione.
_____________________________________________________________________
L'autore
Ralph Bertram ha conseguito il dottorato di ricerca in fisica nell'Università di Bonn nel 2004 con una tesi sui filtri polimerici e i modulatori di telecomunicazione ottica. Nel 2005 è entrato in OSRAM come sviluppatore di sistemi ottici. Come ingegnere di sviluppo e Systems Engineer, ha lavorato nella retroilluminazione a LED, nei retrofit, nei moduli LED, e su molte altre applicazioni LED. Tra il 2010 e il 2013, è stato membro dello Zhaga Consortium essendo Work Group Chair ed editore del Zhaga Book 3 sullo Spot Light Engine da 50 mm. Nel 2013, si è trasferito nella sezione Application Engineering for general lighting LED. Dal 2014, è leader del team System Expert di Osram Opto Semiconductors (Malaysia) Sdn. Bhd.
[post_title] => Una nuova classe di LED - Chip Array (matrici di chip) in package SMD
[post_excerpt] =>
[post_status] => publish
[comment_status] => closed
[ping_status] => closed
[post_password] =>
[post_name] => led-chip-array-package-smd-osram
[to_ping] =>
[pinged] =>
[post_modified] => 2016-03-31 16:29:16
[post_modified_gmt] => 2016-03-31 14:29:16
[post_content_filtered] =>
[post_parent] => 0
[guid] => http://www.infobuild.it/?p=562213
[menu_order] => 0
[post_type] => info_dalle_aziende
[post_mime_type] =>
[comment_count] => 0
[filter] => raw
)
)
[related_aziende_info_aziende] => Array
(
[0] => WP_Post Object
(
[ID] => 361262
[post_author] => 4
[post_date] => 2012-10-09 16:59:26
[post_date_gmt] => 2012-10-09 14:59:26
[post_content] =>
[post_title] => OSRAM
[post_excerpt] =>
[post_status] => publish
[comment_status] => closed
[ping_status] => closed
[post_password] =>
[post_name] => osram
[to_ping] =>
[pinged] =>
[post_modified] => 2012-12-12 12:06:59
[post_modified_gmt] => 2012-12-12 11:06:59
[post_content_filtered] =>
[post_parent] => 0
[guid] => http://www.infobuild.it/aziende/osram/
[menu_order] => 0
[post_type] => aziende
[post_mime_type] =>
[comment_count] => 0
[filter] => raw
)
)
)
Info dalle aziende - Una nuova classe di LED - Chip Array (matrici di chip) in package SMD - INFOBUILD