Modello di calcolo semplificato dell’indice di valutazione di rumore di calpestio L’nw

In questo articolo si affronta il modello di calcolo semplificato dell’indice di valutazione di rumore di calpestio L’n,w  contenuto nella UNI EN ISO 12354 parte 2, che ricalca il modello matematico per la determinazione del potere fonoisolante apparente

La novità importante è che anche il parametro L’n,w viene ricavato combinando tra loro tutti i percorsi di rumore da ambiente emittente ad ambiente ricevente. Per gli ambienti sovrapposti i percorsi generalmente sono cinque, uno diretto e quattro laterali, per gli ambienti affiancati sono due, entrambi laterali.

Percorsi di rumore da calpestio per ambienti sovrapposti e affiancati
Percorsi di rumore da calpestio per ambienti sovrapposti e affiancati

Come per il calcolo di R’w si tratta quindi di determinare il peso dei singoli percorsi e di “sommarli logaritmicamente” tra loro.

Anche la UNI EN ISO 12354-2 specifica modelli di calcolo differenti per edifici pesanti,  ovvero struttura in cemento armato, ed edifici leggeri, ovvero struttura  in acciaio o in legno.

Modello semplificato

Secondo UNI EN ISO 12354-2 il livello di calpestio L’n,w di ambienti sovrapposti, si determina con la formula 1:

Formula calcolo livello di calpestio L’n,w di ambienti sovrapposti

Dove:

Ln,d,w      è il livello di rumore del percorso diretto [dB]

Ln,ij,w      sono i livelli di rumore dei percorsi laterali [dB]

Per ambienti affiancati, dove non ci sono percorsi diretti, la relazione di calcolo diventa (formula 2):

formula per calcolare il livello di calpestio L’n,w in ambienti affiancati

Il percorso diretto (formula 3) e i percorsi laterali (formula 4) valgono:

Formule il livello di calpestio L’n,w per percorso diretto e laterali

dove

Ln,eq,0,w  è il livello di rumore da calpestio del “solaio portante”, privo di strati di rivestimento  “anticalpestio”

ΔLw        è la riduzione di livello di calpestio di un sistema di rivestimento (massetto galleggiante, rivestimento resiliente, ecc.)

ΔLd,w         è la riduzione di livello da calpestio data da un controsoffitto misurata in laboratorio, in assenza di tale dato è possibile utilizzare in prima approssimazione il relativo ΔRw

I primi due termini delle formule sopra (Ln,eq,0,w – ΔLw , rappresentano il livello di rumore che supera l’eventuale sistema anticalpestio (ΔLw) e si propaga nel solaio (Ln,eq,0,w). Superato il solaio, il rumore si propaga attraverso l’eventuale controsoffitto oppure attraverso le pareti laterali, dotate di un proprio potere fonoisolante (Rw) ed eventuali rivestimenti (ΔRw). La superficie del solaio, la lunghezza del perimetro e il modo in cui il solaio è connesso alle pareti laterali, influisce sul modo in cui il rumore “passa” dal solaio alle pareti. I valori degli indici di riduzione delle vibrazioni Kij sono gli stessi utilizzati per il potere fonoisolante, infatti sono contenuti nella parte 1 delle UNI EN ISO 12354.

Modello semplificato per edifici leggeri

Per le costruzioni leggere il livello di calpestio di un percorso laterale “ij”si determina con la formula 5:

formula per calcolare il livello di calpestio di un percorso laterale “ij” per costruzioni leggere

Dove

Ln,f,ij,lab,w livello di rumore da calpestio del percorso ij misurato in laboratorio

Si,lab        Superficie della partizione in laboratorio [m2]

lij             lunghezza del giunto [m]

Si             Superficie dell’elemento “i” in opera [m2]

lij,lab        lunghezza del giunto di laboratorio. Per gli elementi laterali orizzontali, come i pavimenti sopraelevati, è pari a 4,5 m

Per ambienti affiancati orizzontalmente con un pavimento sopraelevato passante da ambiente emittente a ricevente, prevale il percorso “a pavimento”, mentre il percorso “a parete” può essere trascurato.

Anche l’indice Ln,f,ij (come Rij) può essere misurato in laboratorio, con le norme ISO 10848, o ricavato con la seguente relazione matematica (formula 6):

formula per rilevare in laboratorio l’indice Ln,f,ij

Dove:

Ln,ii          livello normalizzato di rumore da calpestio dell’elemento “i” [dB]

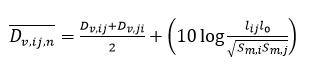
Il coefficiente  ha il significato di “differenza di livelli di velocità, mediata sulle due direzioni, normalizzata sulla lunghezza del giunto e l’area di misura”, formula 7.

formula rumore da calpestio

Dove:

Dv,ij         differenza di livelli di velocità tra elemento “i” e elemento “j” quando viene      eccitato l’elemento “i” [dB]

Dv,ji         differenza di livelli di velocità tra elemento “j” e elemento “i” quando viene      eccitato l’elemento “j” [dB]

lij             lunghezza del giunto [m]

l0             lunghezza di riferimento pari a 1 m

Sm,i         area dell’elemento “i” sulla quale viene mediata la velocità [m2]

Sm,j         area dell’elemento “j” sulla quale viene mediata la velocità [m2]

Come per il potere fonoisolante, il coefficiente  può essere misurato in laboratorio con le ISO 10848, oppure calcolato con relazioni empiriche riportate nella parte 1 della norma, le medesime di R’w.

Livello di calpestio del solaio portante

Il valore di Ln,eq,0,w può essere ricavato da prove di laboratorio oppure calcolato in funzione della massa superficiale complessiva del “solaio portante” [kg/m2], privo di rivestimenti anticalpestio e controsoffitto.

Livello di calpestio del solaio portante
Strati da considerare nella determinazione di m’

Per solai con massa superficiale compresa tra 100 e 600 kg/m2 e di tipo:

  • Solai in calcestruzzo pieno gettati in opera
  • Solai in calcestruzzo cellulare pieno, autoclavato
  • Solai realizzati con “travetti e alveoli”
  • Solai realizzati con “lastroni in calcestruzzo”
  • Solai realizzati con travetti in calcestruzzo

Si utilizza la formula 8:

Calcolo del livello di calpestio solai

Per i solai in laterocemento rivestiti con massetto alleggerito.  La formula 9, proposta da ricercatori italiani è valida per l’intervallo di massa superficiale tra 270 e 360 kg/m2:

Calcolo del livello di calpestio solai

Il massetto alleggerito deve avere uno spessore compreso tra 50 mm e 100 mm e densità di 650 ± 150 kg/m3. Si osserva che quest’ultima determina un livello di calpestio inferiore di 4 dB rispetto alle altre tipologie di solai di pari massa.

Per i solai in laterocemento senza massetto alleggerito, la ISO 12354-2 suggerisce di utilizzare le formule matematiche indicate nella EN 15037-1:2008. Quest’ultima norma propone varie relazioni. Le riportiamo tutte nella tabella.

tabella EN 15037-1:2008, relazioni per il calcolo di Ln,w
Tabella 1 – EN 15037-1:2008, relazioni per il calcolo di Ln,w

Infine si evidenzia che la UN EN ISO 12354-2 non propone formule specifiche per calcolare Ln,eq,0,w per solai in legno e solai con cassero a rimanere in EPS.  Per tali tipologie è quindi opportuno utilizzare certificati di laboratorio.

Indice di riduzione di livello di calpestio ΔLw

L’indice di riduzione di livello da calpestio (ΔLw) di un sistema di rivestimento (massetto galleggiante, rivestimento resiliente, massetto a secco, ecc.), deve essere ricavato preferibilmente da certificati di laboratorio (UNI EN ISO 10140). Per i massetti galleggianti (in cls, sabbia e cemento, ecc.) e per i massetti a secco, l’indice ΔLw può anche essere ricavato analiticamente con le seguenti relazioni:

Indice di riduzione di livello di calpestio

Dove:

s’            è la rigidità dinamica [MN/m3] dello strato resiliente interposto, ottenuta secondo prove di laboratorio conformi alla UNI EN 29052-1:1993

m’          è la massa superficiale [kg/m2] di ciò che sta al di sopra dello strato resiliente

Elementi per il calcolo di ΔLw per massetti galleggianti e massetti a secco
Elementi per il calcolo di ΔLw per massetti galleggianti e massetti a secco

Conclusioni

Il modello descritto in questo articolo risulta più raffinato del suo predecessore, la possibilità di valutare il peso di ogni percorso assieme alla prestazione anticalpestio di rivestimenti orizzontali e verticali, permette di affrontare una previsione di rumore di calpestio in modo certamente più completo.

Il metodo risulta più complicato, rispetto a prima, nel caso di presenza del solo rivestimento anticalpestio nell’ambiente emittente, ma l’unico possibile in caso di presenza di rivestimenti nell’ambiente ricevente e quindi nella riqualificazione acustica.

Per chi vuole iniziare a far pratica con le nuove norme, ricordiamo che ANIT, Associazione Nazionale per l’Isolamento Termico e acustico, ha sviluppato per i propri soci il software Echo 8.0, aggiornato con le ISO 12354:2017. Il programma può essere scaricato dal sito www.anit.it ed utilizzato in versione demo per 30 giorni.

Approfondimento realizzato in collaborazione con Anit – Associazione nazionale per l’Isolamento Termico e acustico

Consiglia questo approfondimento ai tuoi amici

Commenta questo approfondimento